Attosecond pulses produced by high-harmonic generation (HHG) consisting of extreme-ultraviolet (XUV) radiation can ionize any conceivable compound, leading to the formation of a bipartite ion–photoelectron system that is entangled whenever the total wavefunction cannot be written as a single direct product: \(|\varPsi _\rmtotal(t)\rangle \,\ne \) \(|\varPsi _\rmion(t)\rangle \otimes |\phi _\rmphotoelectron(t)\rangle \). This occurs routinely in ionization experiments with narrowband light sources, in which the ion may be left in different eigenstates, each accompanied by photoelectrons with corresponding, well-defined kinetic energies. Ultrashort pulses excite coherent superpositions of states, creating a path towards observation of their time-resolved dynamics. This concept is taken to the extreme in attosecond science, in which bandwidths spanning several tens of eV permit the coherent excitation of several electronic configurations and the creation of electronic wave packets. Attosecond laser-induced ionization can initiate correlated dynamics of the ion and the photoelectron or in the individual subsystems. In the latter case, examining coherent dynamics in the ion (photoelectron) is only possible if a correlated observation of the accompanying photoelectron (ion) does not enable identification of the ion’s (photoelectron’s) quantum state. This situation may be compared with a multi-slit interference experiment, in which a (partial) observation of the slit through which a quantum particle moves reduces or completely removes the interference pattern on a detector: similarly, the existence of an ‘observer’ holding quantum path information compromises the coherence required for observation of a pump–probe signal (Fig. 1a). In other words, coherent dynamics in the ion or photoelectron subsystem is only possible if it is not compromised by quantum entanglement.

a, Time-resolved pump–probe experiments rely on interference, in which each interfering path corresponds to a coherently prepared intermediate state. Observation of the coherent evolution is possible if, and only if, the quantum path cannot be identified. In an entangled ion–photoelectron pair, a photoelectron measurement can provide information on the ionic quantum state, compromising the observation of coherent ionic dynamics. This situation resembles that of the passage of a quantum particle through a pair of slits monitored by two observers (O1 and O2): the modulation depth in the interference pattern is inversely proportional to the overlap between the observations by observers O1 and O2 (see, for example, ref. 39). b, Experimental set-up: a pair of IAPs, created by HHG, and a few-cycle NIR pulse are used to dissociatively ionize H2. The left–right asymmetry in the H+ ejection along the XUV/NIR polarization axis is measured using a VMI spectrometer and is used to quantify the electronic coherence in the dissociating H2+ ion. AF, aluminium filter; BPF, band-pass interference filter; BS, beam splitter; Cam, camera; CW, continuous-wave laser; DM, drilled mirror; EX, extractor; FT, flight tube; NIR, near-infrared laser; PID, proportional-integral-derivative controller; REP, repeller; TM, toroidal mirror; VLG, variable line-space grating. c, Typical VMI measurement: the 3D H+ momentum distribution is obtained by Abel inversion of the measured 2D projection. d, Typical XUV spectra recorded during the experiments, consisting of broad harmonics with a separation of about 3 eV on a continuous background, consistent with the formation of a dominant IAP with a very low intensity of the adjacent XUV pre- or post-pulses. The observed narrow fringe structure depends on the delay between the two IAPs τXUV–XUV. arb.u., arbitrary units.
Building on several early results5,6,9,10,11, recent research aims to achieve a better understanding of the role of quantum entanglement7,8,12,13,14,15,16 and other sources of decoherence17 in attosecond experiments. This includes previous work on H2, investigating the relationship between ion–photoelectron entanglement and the occurrence of vibrational coherence7,8, as well as observations of molecular frame asymmetries in the ejection of photoelectrons15. In the former work, vibrational wave packets were formed in H2+ by ionizing neutral H2 with a pair of attosecond pulse trains and the degree of entanglement with the accompanying photoelectrons was measured by dissociating the ions, at a variable delay, using a few-cycle NIR pulse.
A main objective in attosecond molecular science is, however, the observation of ‘electronic’ coherences in ions formed by attosecond photoionization, commonly referred to as ‘attosecond charge migration’. Its interest arises from the fact that, by eliciting an electronic response on timescales preceding nuclear motion1,18, charge-directed reactivity2, that is, controlled chemistry, may be achieved. Several successful experiments have been reported3,4,19,20. However, the precise role of entanglement and its potential use to control coherent charge dynamics is unknown.
Ideally, studies of ion–photoelectron entanglement would use coincident detection of the ions exhibiting electronic coherence together with their corresponding photoelectrons. However, experiments combining the use of isolated attosecond pulses (IAPs) and coincident electron-ion detection have not yet been realized. Therefore, we focus on the dependence of the degree of (1) electronic coherence in an ion and (2) quantum entanglement between the ion and the photoelectron on, first, the delay between a pair of IAPs used to produce the ion and, second, the delay of a co-propagating NIR pulse. We present experiments and theoretical modelling on H2, showing how the kinetic energy and—in particular—the orbital angular momentum of the outgoing photoelectron, control the ion–photoelectron entanglement and electronic coherence in the ion.
Dissociative ionization by photons below about 35 eV (Fig. 2) induces fragmentation into H+ + H and provides a direct signature of electronic coherence in the ionic subsystem through the phenomenon of electron localization, that is, a laboratory-frame asymmetry in the ejection of the H+ fragment ion signifying a preferred localization of the single remaining bound electron. Following dissociation, the two lowest electronic states of H2+ can be written as
$$\psi _1\rms\sigma _\rmg=\frac1\sqrt2[\psi _1\rms^\rmleft+\psi _1\rms^\rmright],\,\psi _2\rmp\sigma _\rmu=\frac1\sqrt2[\psi _1\rms^\rmleft-\psi _1\rms^\rmright]$$
(1)
in which \(\psi _1\rms^\rmleft\) and \(\psi _1\rms^\rmright\) represent 1s atomic orbitals on the left and right atoms, respectively. Rewriting this to
$$\psi _1\rms^\rmleft=\frac1\sqrt2[\psi _1\rms\sigma _\rmg+\psi _2\rmp\sigma _\rmu],\,\psi _1\rms^\rmright=\frac1\sqrt2[\psi _1\rms\sigma _\rmg-\psi _2\rmp\sigma _\rmu]$$
(2)

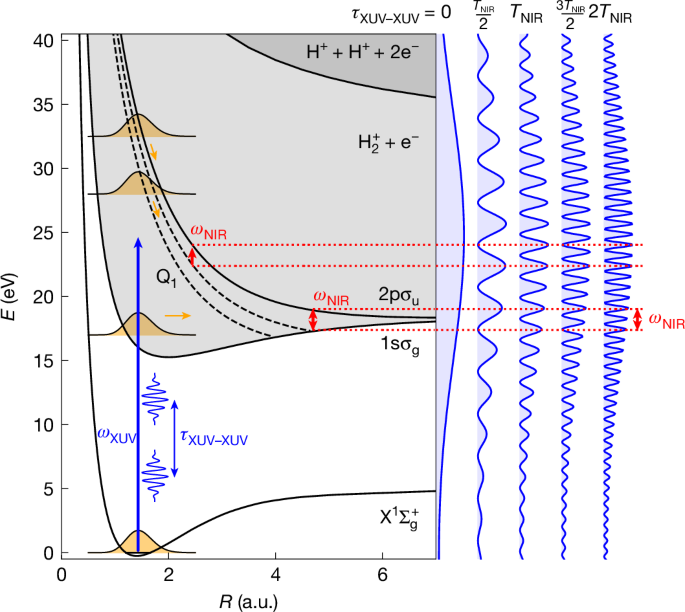
Left, relevant potential energy curves of the H2 molecule: the \(\rmX^1\,\sum _\rmg^+\) ground state, the 1sσg and 2pσu ionization thresholds (that is, the ground and first excited states of the remaining molecular cation H2+), the Q1 and Q2 series of resonant autoionizing states and the double-ionization threshold. The pale grey shaded area represents the ionization continuum and the more intense grey shaded area the double-ionization continuum. A pair of identical approximately 250-attosecond-long XUV pulses with central frequency 25 eV, delayed by τXUV–XUV, ionize the molecule from the \(\rmX^1\,\sum _\rmg^+\) ground state (vertical blue arrow). Right, the spectra of the XUV pulse pair at selected delays are shown. For non-zero τXUV–XUV, the XUV spectrum is modulated with a frequency \(\Delta \omega _\rmXUV=\frac2\rm\pi \tau _\rmXUV-\rmXUV\). Owing to the large bandwidth of the XUV pulses, ionization leads to photoelectrons with a wide range of kinetic energies, and nuclear wave packets, represented by orange Gaussian shapes, are launched in the 1sσg and 2pσu ionization continua and the Q autoionizing states. The NIR pulse induces transitions between the ionic states and between the Q autoionizing states and the 2pσu continuum (small red arrows). This creates the possibility to generate a photoelectron wavefunction that is common to the 1sσg and 2pσu channels and hence a coherent superposition state of the molecular cation. The efficiency of the latter process depends on τXUV–XUV. When τXUV–XUV is an integer multiple of the NIR period, that is, ωNIR = NΔωXUV, pairs of XUV photons differing in energy by the energy of one NIR photon can readily be found, favouring the appearance of electronic coherence in the H2+ cation. By contrast, when τXUV–XUV is a half-integer multiple of the NIR period, that is, \(\omega _\rmN\rmI\rmR=\left(N\pm \frac12\right)\Delta \omega _\rmX\rmU\rmV\), this is more difficult. a.u., atomic units.
illustrates that asymmetries in the H+ ejection reflect the existence of a coherent superposition of the 1sσg and 2pσu states. Electron localization has been observed using strong-field ionization by linearly polarized21 and circularly polarized22 laser pulses and in two-colour laser fields15,23,24,25, including our earlier work combining an IAP and a few-cycle NIR field24, without however considering the role of entanglement. A new feature of the present experiment is its use of a phase-locked pair of IAPs. In the experiment (Methods), H2 was ionized by an IAP pair (hν ≤ 45 eV), with a variable relative delay τXUV–XUV ∈ ⟨4, 12.5 fs⟩. A 25-fs-long NIR pulse (about 1012 W cm−2) followed the two IAPs after a delay τXUV–NIR ∈ ⟨3, 15 fs⟩, with τXUV–NIR defined as the delay between the second IAP and the peak of the NIR pulse (with an uncertainty ±1 fs). H+ fragments were measured using a velocity map imaging (VMI) spectrometer26 and the asymmetry along the common XUV/NIR polarization axis was determined (Methods). In Fig. 3, the H+ fragment asymmetry is shown as a function of τXUV–NIR and the H+ momentum, for four different τXUV–XUV. As illustrated in Fig. 2, the slowest H+ fragments (kinetic energy release (KER) ≤ 1 eV) are formed by XUV-only dissociative ionization on the 1sσg potential energy curve. Intermediate KER values are produced by resonant excitation of the neutral doubly excited Q1 state followed by autoionization and the highest KER values are mostly produced by dissociation on the 2pσu potential energy curve, which is reached by either XUV single-photon ionization or NIR ionization of the Q1 states. Notably, in all four cases shown, the measurement reveals an asymmetry that oscillates as a function of τXUV–NIR with a momentum-dependent phase, in agreement with the results reported in ref. 24. We note that the use of IAPs is essential for obtaining this result, because ionization by pre- and post-pulses emitted at adjacent NIR half-cycles would reduce or even cancel the observed asymmetry. In Fig. 3, the asymmetry oscillations are very pronounced for τXUV–XUV = 7 or 10 fs and relatively weak for τXUV–XUV = 8 or 11 fs. To show this more clearly, a fit of the asymmetry oscillations was performed for each H+ momentum. Momentum-averaged oscillation amplitudes are shown in the middle of Fig. 3, along with a fit for τXUV–XUV ≥ 6 fs. Smaller τXUV–XUV were rejected owing to non-negligible interference of the two NIR driver pulses during the HHG process. The average asymmetry amplitude oscillates as a function of τXUV–XUV with a period equal to the NIR laser optical period TNIR. The decay of the amplitude for increasing τXUV–XUV is caused by the finite duration of the NIR pulse. We emphasize that, in contrast with ref. 8, the results shown in Fig. 3 are influenced by the existence of entanglement after the combined XUV + NIR interaction (as opposed to the entanglement that is investigated in ref. 8 after the XUV ionization).

Top and bottom, normalized difference between the number of H+ fragment ions flying left or right along the XUV/NIR polarization axis as a function of the H+ momentum and the delay τXUV–NIR between the XUV and NIR lasers, for four different values of τXUV–XUV, the delay between the two IAPs. The asymmetry is shown on a linear colour scale between −0.15 (dark blue) and +0.15 (dark red). The H+ momentum is given in atomic units. Note that uncertainties in the calibration of the VMI spectrometer introduce an uncertainty of up to 10% in the absolute values shown. For τXUV–XUV = 7 and 10 fs, a large amplitude of the asymmetry oscillation is observed, whereas for τXUV–XUV = 8 and 11 fs, the asymmetry oscillates with a greatly reduced amplitude. Middle, average amplitude of the asymmetry oscillations as a function of τXUV–XUV. The asymmetry amplitude oscillates with a period that corresponds to the optical period of the NIR laser TNIR. The green curve results from a non-linear least squares fit and is described by y = 0.098 exp(−0.174τXUV–XUV) × cos(1.223τXUV–XUV − 5.325)2 + 0.009. An oscillation frequency of 1.223 fs−1 corresponds to an oscillation period of 2.57 fs, close to the NIR optical period TNIR. The amplitude reduction for larger τXUV–XUV is because of the finite pulse duration of the NIR laser (about 25 fs). To mimic the experimental results, the theoretical results that are shown (red curve), which were obtained for a pulse duration of 15 fs, have been renormalized to the envelope of the experimental 25-fs pulse. a.u., atomic units.
The results in Fig. 3 can be understood in terms of entanglement. First we note that the observation of a H+ fragment asymmetry requires the involvement of one or more NIR photons: after all, owing to dipole selection rules, formation of the 1sσg and 2pσu electronic states by the attosecond pulse pair is accompanied by the ejection of photoelectrons with odd and even orbital angular momentum, respectively:
$$\beginarrayc\beginarrayc\varPsi _\rmH^++\rmH+\rme^-(\rmKER;\rmEKE,l)\,=\\ a_1\rms\sigma _\rmg(\rmKER;\rmEKE,l=\rmodd)\psi _1\rms\sigma _\rmg\chi _1\rms\sigma _\rmg(\rmKER)\otimes \phi (\rmEKE,l=\rmodd)\,+\\ a_2\rmp\sigma _\rmu(\rmKER;\rmEKE,l=\rmeven)\psi _2\rmp\sigma _\rmu\chi _2\rmp\sigma _\rmu(\rmKER)\otimes \phi (\rmEKE,l=\rmeven)\endarray\endarray$$
(3)
in which \(\chi _1\rms\sigma _\rmg(\rmKER)\) and \(\chi _2\rmp\sigma _\rmu(\rmKER)\) are nuclear wavefunctions leading to dissociation of H2+ along the 1sσg or 2pσu potential energy curves at a given KER and ϕ(EKE, l) is the wavefunction of a photoelectron with kinetic energy EKE and orbital angular momentum l. If the XUV pulses produce ionic fragments and photoelectrons with, respectively, the same KER and EKE in both H2+ electronic states, the wavefunction will be entangled because the photoelectron orbital angular momentum differs in both cases; therefore, there will not be any electronic coherence in the molecular cation.
The role of the NIR laser is (1) to change the H2+ electronic state, converting a 1sσg into a 2pσu contribution, or vice versa (Fig. 2) or (2) to change the photoelectron orbital angular momentum, in one of several ways. The NIR laser can ionize the Q1 states of H2 before they autoionize, producing a photoelectron with l = odd (Fig. 2) or it can interact with the outgoing photoelectron, converting a photoelectron with l = even into one with l = odd, or vice versa24. All of these scenarios carry the possibility to introduce terms in the wavefunction that describe the creation of electronic coherence in the cation:
$$\beginarrayc\varPsi _\rmH^++\rmH+\rme^-(\mathrmKER;\mathrmEKE,l)\,=\\ \left[\beginarrayca_1\rms\sigma _\rmg(\mathrmKER;\mathrmEKE,l)\psi _1\rms\sigma _\rmg\chi _1\rms\sigma _\rmg(\mathrmKER)\\ +\,a_2\rmp\sigma _\rmu(\mathrmKER;\mathrmEKE,l)\psi _2\rmp\sigma _\rmu\chi _2\rmp\sigma _\rmu(\mathrmKER)\endarray\right]\otimes \phi (\mathrmEKE,l)\endarray$$
(4)
Notably, these scenarios involve the absorption or emission of a NIR photon, increasing or decreasing the total energy. So that the KER and EKE in both the 1sσg and 2pσu channels can be identical, the XUV photons that initiate the dissociative ionization along the 1sσg and 2pσu potential energy curves need to differ by the energy of one NIR photon ωNIR. The ease with which two such photon pathways can be found depends on τXUV–XUV (Fig. 2). In the frequency domain, a non-zero τXUV–XUV implies an XUV spectral modulation with frequency \(\Delta \omega _\rmXUV=\frac2\rm\pi \tau _\rmXUV-\rmXUV\) (Figs. 1d and 2). Electronic coherence can be readily observed when NΔωXUV = ωNIR, that is, when \(\tau _\rmX\rmU\rmV-\rmX\rmU\rmV=N\frac2\rm\pi \omega _\rmN\rmI\rmR=NT_\rmN\rmI\rmR\), that is, an integer multiple of TNIR. Conversely, electronic coherence is suppressed by entanglement when \(\tau _\rmXUV-\rmXUV=\left(N\pm \frac12\right)T_\rmNIR\).
In the absence of an experimental measurement of the photoelectron and the degree of ion–photoelectron entanglement, definitive conclusions about the role of entanglement require a theoretical simulation of the experiment. Therefore, the time-dependent Schrödinger equation was solved in full dimensionality (for molecules parallel to the polarization direction) by performing a close-coupling expansion of the time-dependent wavefunction in terms of a large number of H2 eigenstates with Σ symmetry, that is, bound states, the 1sσg and 2pσu ionization continua and doubly excited states such as the Q1 states that populate the 1sσg state by means of autoionization (Fig. 2 and Methods). The laser parameters used in the calculations were chosen to mimic the experimental scenario as closely as possible. For computational reasons, the duration of the NIR pulse was limited to 15 fs.
The reduced ionic density matrix was constructed from the computational results by tracing out the photoelectron degrees of freedom (Methods):
$$\rho _ii^\prime (\rmK\rmE\rmR)=\sum _l\int \textdEKE\,a_i(\rmK\rmE\rmR;\,\rmE\rmK\rmE,l)a_i^\prime ^\ast (\rmK\rmE\rmR;\rmE\rmK\rmE,l)$$
(5)
in which i and i′ run over 1sσg and 2pσu. Singular value decomposition allows writing the reduced ionic density matrix as the sum of two density matrices, both of which are density matrices of a pure state \(\psi _j=b_1\rms\sigma _\rmg,j(\rmKER)\psi _1\rms\sigma _\rmg\chi _1\rms\sigma _\rmg(\rmKER)+b_2\rmp\sigma _\rmu,j(\rmKER)\psi _2\rmp\sigma _\rmu\chi _2\rmp\sigma _\rmu(\rmKER)\) with the singular values λj defining the relative weight:
$$\beginarrayc\rho (\rmKER)=\lambda _1\left[\beginarraycc\rho _11,1(\rmKER) & \rho _12,1(\rmKER)\\ \rho _21,1(\rmKER) & \rho _22,1(\rmKER)\endarray\right]+\lambda _2\left[\beginarraycc\rho _11,2(\rmKER) & \rho _12,2(\rmKER)\\ \rho _21,2(\rmKER) & \rho _22,2(\rmKER)\endarray\right]\endarray$$
(6)
Obtaining \(b_1\rms\sigma _\rmg,j(\rmKER)\) and \(b_2\rmp\sigma _\rmu,j(\rmKER)\) from these density matrices, the asymmetry parameter is given by
$$A(\rmKER)=\frac{\sum _j=1,2\lambda _j^2-\sum _j=1,2\lambda _jb_1\rms\sigma _\rmg,j(\rmKER)-b_2\rmp\sigma _\rmu,j(\rmKER)^2}{\sum _j=1,2\lambda _j(\rmKER)b_1\rms\sigma _\rmg,j(\rmKER)+b_2\rmp\sigma _\rmu,j(\rmKER)^2+\sum _j=1,2\lambda _j(\rmKER)^2}$$
(7)
Following common practice in quantum statistical mechanics, we use the von Neumann entropy S(ρ(KER)) = −tr(ρ(KER)lnρ(KER)) to assess the degree of entanglement of the ion–photoelectron system27: when the system is in a pure state, λ2 = 0 (S = 0) and the system is maximally entangled when λ1 = λ2 (S = ln2).
Calculations involving a pair of IAPs were carried out as a function of τXUV–NIR and τXUV–XUV (restricted to τXUV–XUV ≲ 9 fs; Methods). The calculations yield the amplitudes ai(KER; EKE, l) that appear in equations (3)–(5) and are used to calculate the asymmetry and von Neumann entropy as a function of the KER using equations (6) and (7). Extended Data Fig. 1 shows the calculated H+ fragment asymmetry as a function of τXUV–NIR and the H+ momentum for selected τXUV–XUV. As in the experiment, the asymmetry oscillates as a function of τXUV–NIR with a period TNIR and the amplitude of the oscillations strongly depends on τXUV–XUV. The KER-averaged asymmetry amplitude is shown as a function of τXUV–XUV in the middle part of Fig. 3. For τXUV–XUV, for which both theoretical and experimental data exist, qualitatively similar behaviour is observed, namely pronounced oscillations as a function of τXUV–XUV with a period TNIR and a progressive damping of these oscillations for increasing τXUV–XUV. Quantitative differences are probably because of the use of a shorter NIR pulse in the calculations and experimental imperfections such as the existence of non-zero attosecond pre- and post-pulses.
In more detail, Fig. 4a,b shows, for different values of the KER, the calculated asymmetry (black curves) and von Neumann entropy (red curves) as a function of τXUV–NIR for τXUV–XUV = TNIR (solid lines) and \(\tau _\rmXUV-\rmXUV=\frac32T_\rmNIR\) (dashed lines) and as a function of τXUV–XUV for selected values of τXUV–NIR, respectively. The calculated asymmetries confirm the experimentally observed oscillatory dependencies on τXUV–XUV and τXUV–NIR and illustrate a changing role of the quantum entanglement as a function of the KER. For KER values ≤9 eV, XUV ionization predominantly produces a dissociative wave packet on the 1sσg potential energy curve, either by direct photoionization or by autoionization of the Q1 states. Without substantial population of the 2pσu state, the ion–photoelectron state is pure and the von Neumann entropy is zero (see Fig. 4a for τXUV–NIR ≪ 0 when the NIR pulse precedes the XUV pulse). For τXUV–NIR ≈ 0, and in particular for τXUV–NIR > 0, the NIR pulse populates the 2pσu state and a fragment asymmetry (that is, electronic coherence) is seen. In agreement with the experiment, the asymmetry in Fig. 4a oscillates with τXUV–NIR, with two extrema (one positive, one negative) during each NIR optical period. Notably, the calculations show that the NIR also produces entanglement. This is a result of NIR interaction with the photoelectron, producing photoelectron sidebands28 and redistributing the orbital angular momentum over a wider range of l.

a, Asymmetry (black) and von Neumann entropy (red) as a function of the H+ fragment KER (indicated in each plot) and τXUV–NIR for two different values of τXUV–XUV, namely τXUV–XUV = TNIR (solid lines) and \(\tau _\rmXUV-\rmXUV=\frac32T_\rmNIR\) (dashed lines), in which TNIR is the optical period of the NIR laser. b, Asymmetry (black) and von Neumann entropy (red) as a function of the H+ fragment KER (indicated in each plot) and τXUV–XUV for a fixed value of τXUV–NIR, namely, τXUV–NIR = 2.00 fs (KER = 1 eV), 2.10 fs (KER = 3 eV), 2.40 fs (KER = 5 eV), 2.90 fs (KER = 7 eV), 2.70 fs (KER = 9 eV), 2.30 fs (KER = 11 eV), 3.00 fs (KER = 13 eV) and 2.95 fs (KER = 15 eV). c,d, Asymmetry (c) and von Neumann entropy (d) as a function of τXUV–XUV and τXUV–NIR for a H+ KER of 9.924 eV. The black lines that are superimposed with slopes +2 and −2 pass through the maxima in the von Neumann entropy shown in d; the horizontal white lines correspond to \(\tau _\rmXUV-\rmXUV=M\fracT_\rmNIR2\) with M = 1–6. c and d are plotted on a linear colour scale over a range indicated at the top left.
For KER values > 9 eV, both dissociation on the 1sσg potential curve (following autoionization) and direct photoionization producing the 2pσu state contribute. Without NIR interaction, these two quantum paths are accompanied by photoelectrons with different orbital angular momenta (equation (3)) and produce an entangled ion–photoelectron pair. Indeed, Fig. 4a now shows that, for τXUV–NIR ≪ 0, the von Neumann entropy is distinctly non-zero. Under the influence of the NIR, electronic coherence is created (as revealed by the asymmetry parameter) and the von Neumann entropy decreases, in particular for a KER of 13 eV. Consistent with the experiment, the asymmetry oscillations in Fig. 4a are more pronounced when τXUV–XUV is an integer multiple of TNIR.
In Fig. 4b, the dependence of the asymmetry and von Neumann entropy on τXUV–XUV are shown for selected values of τXUV–NIR. Except for the previously discussed low KER values, the entanglement shows clear oscillatory behaviour as a function of τXUV–XUV, with a period that is approximately equal to TNIR, in agreement with the experiment and our previous description. Very rapid oscillations with a period of about 130 attoseconds are observed, which were not seen in the experiment, which was conducted with a 200-attosecond time step. They originate from a Ramsey-type interference in the resonant excitation of the Q1 state.
Figure 4c,d shows the asymmetry and von Neumann entropy as a function of τXUV–XUV and τXUV–NIR for a KER of 9.924 eV. In Fig. 4d, maxima of the von Neumann entropy occur on a series of lines with slopes +2 and −2 (originating from the two pulses in the IAP pair, as revealed by calculations including only one of the two XUV pulses), with a particularly high degree of entanglement at the crossing of two such lines. By contrast, the asymmetry as a function of τXUV–XUV and τXUV–NIR (Fig. 4c) shows both positive and negative extrema for combinations of the two time delays that fall in between the black lines in which the entanglement maxima occur. The observed anticorrelation between the fragment asymmetry and the von Neumann entropy supports our interpretation that the electronic coherence is limited by ion–photoelectron entanglement and rules out interpretations of the experiment in terms of possible interference mechanisms involving only the ion.
Figure 4c,d provide further evidence for the aforementioned dependence of the electronic coherence on τXUV–XUV. In Fig. 4d, entanglement maxima occur when \(\tau _\rmXUV-\rmXUV=M\fracT_\rmNIR2\) (see white lines, labelled by M). For odd M, the electronic coherence has a minimum for all values of τXUV–NIR, in agreement with the discussion of Fig. 3. For even M, the entanglement owing to the XUV spectral modulation is suppressed and maxima of the electronic coherence occur for selected values of τXUV–NIR, in which the entanglement shows a minimum (and vice versa). We note that, although in our paper we have chosen to use a frequency-domain description, parts of our observations might also be understood using a time-domain description that considers how electronic coherences in the H2+ ion produced by the two attosecond pulses add constructively or destructively. However, such a time-domain description does not provide insight into the clear anticorrelation between electronic coherence and entanglement that we see in Fig. 4c,d.
The prominent role of quantum entanglement demonstrated in this work is probably of widespread importance in the investigation of systems with a high degree of symmetry. Moreover, whereas here and previously7,8 we have investigated entanglement between the photoelectron and the electronic and vibrational degrees of freedom of an ion, entanglement involving rotational degrees of freedom is expected to be important as well29 and is a topic of future research. Our work fits in a recent development in which the attosecond community is discovering itself as a fertile playground for the investigation of fundamental quantum mechanical and quantum optical concepts30, with recent work on the use of HHG for producing high-photon-number entangled states31,32 and on strong field processes driven using non-classical light33,34. Also, a new protocol for the implementation of a Bell test using ultrafast lasers has been proposed35. Our work may stimulate more detailed studies of the role of quantum entanglement in time-resolved spectroscopy, including studies of how entanglement can be actively controlled. Moreover, the use of a phase-locked pair of IAPs may stimulate the development of XUV multidimensional spectroscopy on attosecond timescales, extending highly fruitful use of multidimensional measurement techniques in other frequency domains36,37,38.

